将一枚均匀的硬币连掷3次,则恰有1次硬币正面向上的概率为( )。

作者:高老师 浏览 4

将一枚均匀的硬币连掷3次,则恰有1次硬币正面向上的概率为( )。
【正确答案】:3/8
【题目解析】:

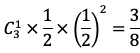
掷均匀的硬币,每次正面向上的概率与反面向上的概率都为1/2。恰有1次硬币正面向上的概率为


📱 扫码体验刷题小程序

微信小程序二维码

扫一扫使用我们的微信小程序

热门题目

已复制到剪贴板