一台机器有1/3的时间加工零件A,2/3的时间加工零件B,加工零件A时停机的概率为0.3,加工零件B时停机的概率为0.4,则机床

作者:高老师 浏览 0

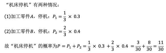
一台机器有1/3的时间加工零件A,2/3的时间加工零件B,加工零件A时停机的概率为0.3,加工零件B时停机的概率为0.4,则机床停机的概率为( )
【正确答案】:11/30
【题目解析】:

📱 扫码体验刷题小程序

微信小程序二维码

扫一扫使用我们的微信小程序

热门题目

已复制到剪贴板