翰林刷题,免费考试真题网站!
首页
关于我们
首页
›
分类
› 详情
作者:高老师
时间:2024-07-28
浏览 1
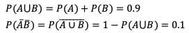
【正确答案】:
【题目解析】:
📱 扫码体验刷题小程序
扫一扫使用我们的微信小程序
热门题目
下列不属于数据的物理结构的是
提出“虚无课程”概念的教育家是( )
个体心理学(individual psychology)是由心理学家( )创立的。
Eclipse在首次启动时,会扫描并查找 plugins目录下的已被定义的 。
什么是全文信息检索?全文检索系统标引方式有哪些?
鉴证业务的标准要素应当具备的特征有
简述系统开发的特点。
移动商务
下列关于弗农的产品生命周期学说说法正确的是()
预测模型所要追求的一个首要目标是()
在人类传播媒介的发展演进过程中,继口语媒介阶段之后的阶段是()
新生儿表现出的觅食反射是天生的、固有的_____反射。
➕
➖
📋
⬆️
已复制到剪贴板