某种饮料每箱装6听,如果其中有2听不合格,质检人员随机抽取2听,则检测出不合格饮料的概率是( )

作者:高老师 浏览 1

某种饮料每箱装6听,如果其中有2听不合格,质检人员随机抽取2听,则检测出不合格饮料的概率是( )
【正确答案】:0.6
【题目解析】:

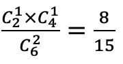
6听饮料中随机抽取2听,共有种情况,检测出不合格饮料的情况是:(1)随机抽出的2听饮料都不合格,概率为。(2)随机抽取的2听饮料有一个合格,一个不合格,概率为。故检测出不合格饮料的概率是1/15+8/15=0.6


📱 扫码体验刷题小程序

微信小程序二维码

扫一扫使用我们的微信小程序

热门题目

已复制到剪贴板