翰林刷题,免费考试真题网站!
首页
关于我们
首页
›
分类
› 详情
作者:高老师
时间:2024-07-28
浏览 1
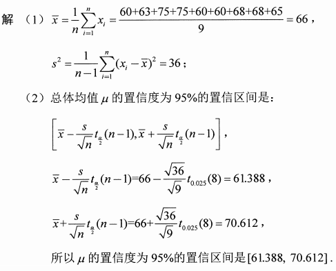
【正确答案】:
📱 扫码体验刷题小程序
扫一扫使用我们的微信小程序
热门题目
与客户有效沟通的技巧不包括( )。
世界上第一个以资源共享为主要目的的计算机网络是()
中国共产党根据马克思列宁主义关于农业社会主义改造的思想,从我国的实际出发,开创了一条有中国特色的合作化道路,成功地实现了对个体农
当今世界唯一的超级大国是()
可持续是指走_______的文明发展道路,建设资源节约型、环境友好型社会,使人民在良好生态环境中生产生活,实现经济社会永续发展。
某企业第二季度的商品销售额分别为80万元,120万元,136万元;4月一7月每月月初商品库存额分别为40万元,60万元,80万元
计件工资
简述议会制政府的主要特征
绩效考核按时间划分包括( )。
有关国际贸易结算的国际贸易惯例主要有《跟单信用证统一惯例》和( )
在编译指令中,宏定义使用指令( )。
以下关于业务流程重组的原则,正确的是
➕
➖
📋
⬆️
已复制到剪贴板