翰林刷题,免费考试真题网站!
首页
关于我们
首页
›
分类
› 详情
作者:高老师
时间:2024-07-28
浏览 0
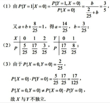
【正确答案】:
📱 扫码体验刷题小程序
扫一扫使用我们的微信小程序
热门题目
发起人设立股份有限公司的,发行股份的股款缴足后,必须经依法设立的验资机构验资并出具证明。发起人应当自股款缴足之日起( )内主持召
法律权威是指法律在社会生活中的作用力、影响力和公信力是法律应有的尊严和生命。下列关于法律权威的说法中正确的是
下列关于教育法规与教育行政管理的关系的陈述,正确的有( )
完全竞争市场上,生产要素的边际收益取决于该要素的
乙公司是甲公司的全资子公司,年末甲公司长期股权投资账面余额为420万元,乙公司实收资本账面价值为120万元、没有盈余公积和未分配
采用二级页表的页式管理系统中,在不用快表时每取一条指令或一个操作数需访问主存次数为______。
上市公司应具有的特点包括( )。
鉴证小组成员或其直系亲属从银行或类似机构等鉴证客户取得贷款,或由这些客户作为担保人时,只要贷款是按照正常的贷款程序、条件和要求进
-般来说,初级产品价格的上涨速度___________エ业制成品,初级产品价格的波动程度_________ エ业制成品
广东兴宁诗人胡晓岑堪称是黄遵宪的同路人,他的《火轮船歌》以新事物入诗,融合时事,笔力奇伟,比黄遵宪的《爱别离》早了16年。
简述糖尿病患者在哪些情况下不宜运动。
➕
➖
📋
⬆️
已复制到剪贴板