翰林刷题,免费考试真题网站!
首页
关于我们
首页
›
分类
› 详情
作者:高老师
时间:2024-07-28
浏览 0
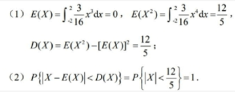
【正确答案】:
📱 扫码体验刷题小程序
扫一扫使用我们的微信小程序
热门题目
1962年,阿尔及利亚摆脱哪个国家的殖民统治赢得独立?
20%的优质客户为银行提供了80%的利润是( )的体现。
筑室兮水中,茸之兮荷盖
1885年通过了第一个强制性的《工人赔偿法》的国家为 ( )
某空调生产企业不仅注重向市场提供质量可靠、价格公道的商品,还特别注重提供最佳服务。该企业的这种营销观念是
试述限制和剥夺人身自由的合法条件。
能够使灵活性与稳定性较好结合的股利政策是( )
主张任何人都得过集体公共生活,首先提出优生优育问题的教育家是()。
行为主义者()通过观察研究提出天生的情绪反应有三种。
企业发生的下列支出中,属于资本性支出的是( )。
东风公司生产经营A、B、C三种产品,A、B、C又三种产品预计销售量比重分别为: 15%、 40%、45%,边际贡献贡献率分别为2
企业资本结构的影响因素有( )
➕
➖
📋
⬆️
已复制到剪贴板