设样本X(下标1),X(下标2),…,X(下标n)来自总体N(μ,25),假设检验问题为H(下标0):μ =μ(下标0),H(下

作者:高老师 浏览 0

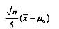
设样本X(下标1),X(下标2),…,X(下标n)来自总体N(μ,25),假设检验问题为H(下标0):μ =μ(下标0),H(下标1):μ≠μ(下标0),则检验统计量为______。
【正确答案】:

📱 扫码体验刷题小程序

微信小程序二维码

扫一扫使用我们的微信小程序

热门题目

已复制到剪贴板