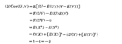
设随机变量X,Y相互独立,X~N(0,1),Y~N(0,4),U=X+Y,V=X-Y。求:(1)E(XY);(2)D(U),D(

作者:高老师 浏览 0

设随机变量X,Y相互独立,X~N(0,1),Y~N(0,4),U=X+Y,V=X-Y。
求:
(1)E(XY);
(2)D(U),D(V);
(3)Cov(U,V)。
【正确答案】:


📱 扫码体验刷题小程序

微信小程序二维码

扫一扫使用我们的微信小程序

热门题目

已复制到剪贴板