翰林刷题,免费考试真题网站!
首页
关于我们
首页
›
分类
› 详情
作者:高老师
时间:2024-07-28
浏览 0
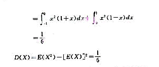
【正确答案】:
📱 扫码体验刷题小程序
扫一扫使用我们的微信小程序
热门题目
企业承担社会责任的意义主要表现在哪几个方面?
在Excel中有一“产品销售流水记录”工作表如图所示,数据清单字段名有订货日期、订货单位、产品、数量。若要统计每种产品的销售总量
根据现行宪法和法律,下列各项中有权向全国人大常委会提出议案的是( )
__________ with the size of the ocean on earth, world continents
社会后工业化与信息化的结果为
简述零售选址的原则。
幼儿天性好动,这就要求在贯彻幼儿园游戏实施的主体性原则时,应当
简述变动成本法的特点。
Documentary collection falls______ two major categories .
Which of the following can illustrate that the extra-linguistic
在反套用税收协定条款中,根据控制或拥有缔约国居民公司的股东是否也为缔约国的居民,确定缔约国居民是否享受协定的优惠待遇的方法是(
话剧《升官图》为了避免国民党当局的刁难,作者有意设置故事发生的时间是( )
➕
➖
📋
⬆️
已复制到剪贴板