翰林刷题,免费考试真题网站!
首页
关于我们
首页
›
分类
› 详情
作者:高老师
时间:2024-07-28
浏览 0
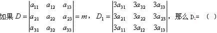
A、3m
B、-3m
C、9m
D、-27m
【正确答案】:D
【题目解析】:
【答案解析】
📱 扫码体验刷题小程序
扫一扫使用我们的微信小程序
热门题目
申请人对人民法院驳回破产申请的裁定不服的,有权向上一级人民法院提起上诉。上诉期限为裁定送达之日起( )。
在结构工资中既能起到鼓励职工热爱企业和本职工作,又能起到激励和凝聚作用的工资构成是( )
当劳动力市场上工资率和就业量的波动趋于均衡点时,应具备的条件有()
以下哪项属于公共产品( )
小学美育的任务是培养学生成为( )
某公司资产净利率为10%,若产权比率为1.5,则权益净利率为( )。
根据《服务贸易总协定》的规定,巴基斯坦某大学生在中国武汉大学求学三年,对于中国而言,这属于
下列关于二战后贸易自由化特点的表述正确的有
先秦诸子散文中艺术水平最高的是( )
在数据结构中,从逻辑上可以把数据结构分为线性结构和 。
关于联营体承包模式,下列说法正确的有
记录与阐释先秦礼仪制度的礼书是
➕
➖
📋
⬆️
已复制到剪贴板