翰林刷题,免费考试真题网站!
首页
关于我们
首页
›
分类
› 详情
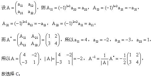
设
作者:高老师
时间:2024-07-28
浏览 1
设
A、
B、
C、
D、
【正确答案】:C
【题目解析】:
【答案解析】本题考查矩阵逆的计算。
📱 扫码体验刷题小程序
扫一扫使用我们的微信小程序
热门题目
掌握批评的艺术要注意:不要____,要____,还要动用幽默、委婉等方法。
乘车、登机、坐船时主动购票、自觉排队;出行时自觉遵守交通规则,不闯红灯;游览观光、购物、提款时按先后顺序,不插队等。这是社会公德
概述外部沟通文件的含义。
简述所有者权益的定义及其确认条件。
有这样一则广告:“您曾因为失眠而在长夜里辗转反侧吗?请用K牌片剂。您将可以获得恬静、舒适的睡眠.醒来后头脑清醒、精力充沛.没有服
下列固定资产中,不应计提折旧的是
It is not surprising that some artists finally began to create w
The glass remained()after being dropped.
当用户需要文件信息的时候,文件系统要把物理文件转换成逻辑文件,为此要考虑一种有效的____。
在单道程序的环境中,同时采用磁盘的移臂调度技术和信息的优化分布技术,不能够降低
通常,按照计算机网络的()可将其分为局域网、广域网、()和因特网。
下列关于影响无形资产评估价值的因素的说法中,错误的是
➕
➖
📋
⬆️
已复制到剪贴板