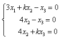
如果方程组有非零解,则k=()

作者:高老师 浏览 0

如果方程组有非零解,则k=()


A、-2
B、-1
C、1
D、2
【正确答案】:B
【题目解析】:

【答案解析】即12(k+1)=0,所以k=-1。


📱 扫码体验刷题小程序

微信小程序二维码

扫一扫使用我们的微信小程序

热门题目

已复制到剪贴板