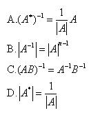
A,B都是n阶非异矩阵,其中为A的伴随矩阵。则下列等式正确的是() 作者:高老师 时间:2024-07-28 浏览 0 A,B都是n阶非异矩阵,其中为A的伴随矩阵。则下列等式正确的是()A、见上B、见上C、见上D、见上【正确答案】:A【题目解析】:【答案解析】 📱 扫码体验刷题小程序 扫一扫使用我们的微信小程序