翰林刷题,免费考试真题网站!
首页
关于我们
首页
›
分类
› 详情
作者:高老师
时间:2024-07-28
浏览 0
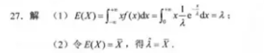
【正确答案】:
📱 扫码体验刷题小程序
扫一扫使用我们的微信小程序
热门题目
抗战初期的平型关大捷及其意义是什么?
设计艺术不仅能设计人们需要的物品,还能设计出人们新的生活方式。其主要特点
下列各项,属于公益金用途的是( )。
“你这门学科对那些不会成为这个领域专家的年轻人的教育有什么功用?你这门学科对外行或一般公民有什么贡献?“,这是在确定课程与教学目
联系实际论述园所管理的基本任务
组织形象设计主要应该做好以下识别系统的设计工作( )
提出“按照美的规律来建造”的是( )
实物保护控制是指对实物资产的安全保护,主要包括()。
关于方差的数学性质,下列说法正确的是( )
现今存诗最多的西晋诗人是
《现代汉语八百词》的主编是
➕
➖
📋
⬆️
已复制到剪贴板