翰林刷题,免费考试真题网站!
首页
关于我们
首页
›
分类
› 详情
作者:高老师
时间:2024-07-28
浏览 0
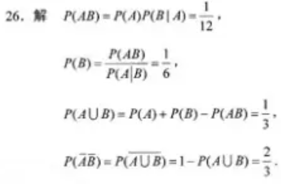
【正确答案】:
📱 扫码体验刷题小程序
扫一扫使用我们的微信小程序
热门题目
在 Word 的编辑过程中,要将插入点快速移到文档结束位置,应按
______, but the fire brigade came too.
衡量外债规模的指标主要有( )
会导致团队成员只顾个人,在团队内部形成一种压力,可能会削弱协作和凝聚力的奖惩方式是
世界贸易组织成立于()
造成不同主体对同一作品不同解读的根本原因是( )
在VIS中,应用最广泛、使用频率最多的要素是()
重农主义
报社资金有四种形态。一旦报纸印刷完毕,报社资金即转变为其中的
关于间接信息在广告中的作用,下列说法正确的是()
( )6月,日本政府出台的《新增长战略》,制定了在海外拓展相关创意产业业务的政策后,其文化产业将得到更大发展,预计到2020年,
目前多数微机上运行的操作系统都属于()
➕
➖
📋
⬆️
已复制到剪贴板