翰林刷题,免费考试真题网站!
首页
关于我们
首页
›
分类
› 详情
作者:高老师
时间:2024-07-28
浏览 1
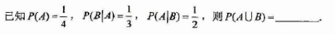
【正确答案】:1/3
📱 扫码体验刷题小程序
扫一扫使用我们的微信小程序
热门题目
中华人民共和国恢复在联合国合法席位的时间是
简述新事物为什么必然战胜旧事物。
可行性研究和投资决策的起点是( )
商业资本国际化的主要形式是()
下列属于海明威作品的有()
哪一个利益相关者对组织发展速度的增长最感兴趣?()
论述游戏治疗中的家长工作。
导致幼儿疲劳的诱因之一是( )
完全生产成本最佳的描述是()
汉译英然而正在此时她听到一对年轻人以轻蔑的口气谈论她。男青年甚至低声叫她走开。
下列不属于输入设备的是( )。
信息具有很多重要的特性,包括真伪性、( )、可传输性与可变换性、共享性等。
➕
➖
📋
⬆️
已复制到剪贴板