翰林刷题,免费考试真题网站!
首页
关于我们
首页
›
分类
› 详情
作者:高老师
时间:2024-07-28
浏览 0
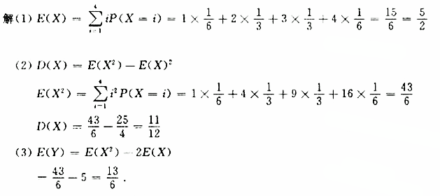
【正确答案】:
📱 扫码体验刷题小程序
扫一扫使用我们的微信小程序
热门题目
根据我国的《著作权法》规定,下列选项中不属于著作权的是()
因为经济发展包含了经济增长,所以经济增长等同于经济发展。
法团主义
广告创作人员将主题、字体和色彩三个方面巧妙地组合,形成了
商品价格由四个要素组成,即生产成本、税金、利润和 ___________。
We are afraid that we shall have to charge more for the design a
操作系统引入进程后,能( )
Generally, William Shakespeare's dramatic career can be divided
面对物价稳定与充分就业之间的矛盾,中央银行可有哪几种选择?()
将计算机分为16位机、32位机、64位机依据的性能指标是
经济全球化
下列运输方式中,最适宜运送急需物资、鲜活商品、精密仪器和贵重物品的是( )
➕
➖
📋
⬆️
已复制到剪贴板