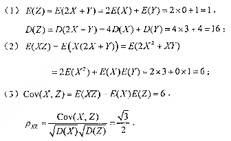
设随机变量X与Y相互独立,X~N(0,3),Y~N(1,4).记Z=2X+Y,求:(1)E(Z),D(Z);(2)E(XZ);(

作者:高老师 浏览 1

设随机变量X与Y相互独立,X~N(0,3),Y~N(1,4).记Z=2X+Y,
求:
(1)E(Z),D(Z);
(2)E(XZ);
(3)P(XZ)。
【正确答案】:

📱 扫码体验刷题小程序

微信小程序二维码

扫一扫使用我们的微信小程序

热门题目

已复制到剪贴板