翰林刷题,免费考试真题网站!
首页
关于我们
首页
›
分类
› 详情
作者:高老师
时间:2024-07-28
浏览 1
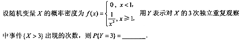
【正确答案】:1/27
📱 扫码体验刷题小程序
扫一扫使用我们的微信小程序
热门题目
国际物流的发展规模逐步扩大的时间是( )。
下列《长恨歌》诗句中,具有讽刺意味的是()。
国民经济核算体系中的机构部门包括( )。
_______的产生便是艺术与科技进步整合的产物。
李圭
补偿贸易
At nightfall we stopped at a village, which ()a small store and
下列属于通货膨胀会计特有的会计概念有( )。
成量公司2004年初流通在外的普通股股份为30万股,发行又购回但尚未注销的库藏股票为1万股。4月1日以股票利方式发行1万股,11
试运用“瓦格纳公共支出增长法则”、“梯度渐进增长”理论和“经济发展阶段”理论解释财政支出规模不断扩大的原因。
下列加点部分属于同音同形的一组是()
专家策划法一般分为
➕
➖
📋
⬆️
已复制到剪贴板