翰林刷题,免费考试真题网站!
首页
关于我们
首页
›
分类
› 详情
作者:高老师
时间:2024-07-28
浏览 1
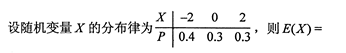
A、-0.8
B、-0.2
D、0.4
【正确答案】:B
📱 扫码体验刷题小程序
扫一扫使用我们的微信小程序
热门题目
电子货币系统的安全受到侵害的可能性直接关系到( )的利益,因为任何损失都将由发行者和系统经营者承担。
在流程图中,菱形符号表示的是( )
请简单描述一下运用应付税款法如何进行会计处理。
下列选项中,负责进出口产品増值税和消费税等征收的机关是( )。
Passage 2 Building of Europe's Financial Firewall Paris wanted a
Mr. Allworthy is a kind-hearted gentleman in().
The government has decided to increase ______ for civil servants
在确定审计程序的范围时,注册会计师应当考虑下列因素中不正确的是
无形市场一般指交易所市场。
下列属于以说明表示商品品质的方法有
杂文的写法不宜直截了当、逻辑严密地逐层分析,而应该采取的方法是迂回包抄、旁敲侧击、曲折含蓄以及
如何将教育规律的理性认识转化为教育实践活动的行动指南。
➕
➖
📋
⬆️
已复制到剪贴板