在一元线性回归的数学模型中,其正规方程为

作者:高老师 浏览 0

在一元线性回归的数学模型中,其正规方程为


A、
B、
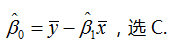
C、
D、
【正确答案】:C
【题目解析】:

一元线性回归的数学模型中,


📱 扫码体验刷题小程序

微信小程序二维码

扫一扫使用我们的微信小程序

热门题目

已复制到剪贴板