翰林刷题,免费考试真题网站!
首页
关于我们
首页
›
分类
› 详情
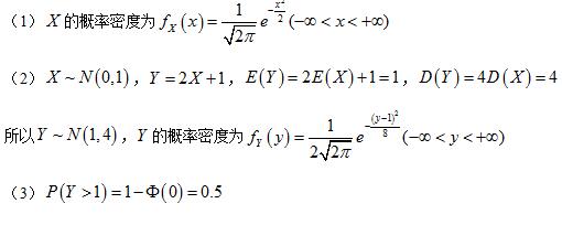
设随机变量
作者:高老师
时间:2024-07-28
浏览 0
设随机变量
【正确答案】:
📱 扫码体验刷题小程序
扫一扫使用我们的微信小程序
热门题目
《都江堰》称李冰:“他大愚,又大智。他大拙,又大巧。”其中“大愚”、“大拙”的意思是指()
“控制面板”在开始菜单中的显示方式有“不显示此项目”“显示为菜单”和“显示为链接”三个可选项,系统默认的显示方式为( )。
中国园林水景的艺术风格()
怎样进行广告效益的多因素分析,它有什么优点?
一个必要条件假言命题,只有当其前件____而后件真时,该假言命题是假的。
“国外文献报道,长期用1%阿托品滴眼,每天一次,可防止近视发展。上海某个眼防所在这方面做了大量研究工作。他们用1%阿托品滴一只眼
儿童接受社会化教育的起点是()
The train was travelling ______ full speed.
设矩阵A=,则与矩阵A相似的矩阵是( )
注册会计师编制的审计工作底稿,应当使未曾接触该项审计工作的有经验的专业人士清楚了解的内容有
第一部吸收结构主义理论而全面描写汉语语法的专著是
工业革命不仅标志着资本主义机器大工业生产代替了资本主义手工业生产,而且促使现代___的产生。
➕
➖
📋
⬆️
已复制到剪贴板