翰林刷题,免费考试真题网站!
首页
关于我们
首页
›
分类
› 详情
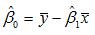
则回归系数
作者:高老师
时间:2025-07-23
浏览 0
则回归系数
A、
B、
C、
D、
【正确答案】:B
【题目解析】:
由最小二乘法可得
,选B.
📱 扫码体验刷题小程序
扫一扫使用我们的微信小程序
热门题目
如果以一天中的时间来对应四季,当然春天是早晨,夏天是中午,秋天是黄昏,冬天是夜晚。如果以乐器来对应四季,我想春天应该是小号,夏天
价值工程对象确定之后,第二步的工作就是要围绕所选择的对象( )
新中国成立后颁布的第一个幼儿教育行政法规是
人类的生活方式大致可分为
働いて()
多道批处理系统提高了____。
In Donne's poetry, he frequently applies().
在充分竞争的市场上,
下列属于以FOB价格成交的进口合同履行程序的有( )
目前所知的中国最早的报告文学作品是黄兴的《五日风声》。
写出《齐桓晋文之事》中的三个比喻,说明所包含的道理。
《邵公谏厉王弭谤》选自
➕
➖
📋
⬆️
已复制到剪贴板