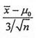
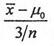
设x1,x2,…,xn为来自正态总体N(μ,32)的样本,为样本均值.对于检验假设,则采用的检验统计量应为()

作者:高老师 浏览 1

设x1,x2,…,xn为来自正态总体N(μ,32)的样本,为样本均值.对于检验假设,则采用的检验统计量应为()


A、
B、
C、
D、
【正确答案】:B
【题目解析】:

检验,方差 已知,所以检验统计量为 ,选B


📱 扫码体验刷题小程序

微信小程序二维码

扫一扫使用我们的微信小程序

热门题目

已复制到剪贴板