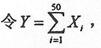
则由中心极限定理知Y近似服从的正太分布是_______

作者:高老师 浏览 0

则由中心极限定理知Y近似服从的正太分布是_______
A、N(4,0. 8)
B、N(4,0.64)
C、N(40,8)
D、N(40,64)
【正确答案】:C
【题目解析】:

由中心极限定理, ,


📱 扫码体验刷题小程序

微信小程序二维码

扫一扫使用我们的微信小程序

热门题目

已复制到剪贴板