翰林刷题,免费考试真题网站!
首页
关于我们
首页
›
分类
› 详情
作者:高老师
时间:2024-07-28
浏览 0
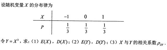
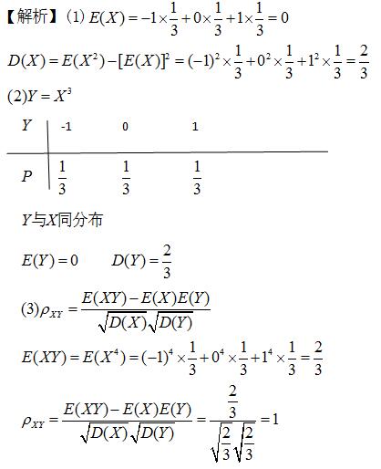
【正确答案】:
📱 扫码体验刷题小程序
扫一扫使用我们的微信小程序
热门题目
中国加入世界贸易组织的时间是( )
某施工企业2017年的经营业绩为:营业收入3000万元,营业成本1800万元,税金及附加180万元,期间费用320万元,投资收益
企业用某种具有吸引力的奖励措施,以表示对职工努力进行安全生产行为的肯定,从而引导职工进一步遵守安全生产规则。这种激励方式的理论基
下列选项中,符合霍兰德人格类型一职业类型匹配理论的观点是
下列选项中,属于一次能源的有
处于培育期的企业重点不包括( )
一个项目投资方案所引起的公司现金收人的增加额是指( )
“理念论”的创立者是()
倡导统一领导、统一指挥、纪律、秩序等原则的组织理论是
试述供应链管理的主要方法。
细胞、组织和器官的分化与功能的成熟,这一质变过程称为
对于存储过程和存储函数的说法错误的是
➕
➖
📋
⬆️
已复制到剪贴板