翰林刷题,免费考试真题网站!
首页
关于我们
首页
›
分类
› 详情
作者:高老师
时间:2024-07-28
浏览 0
A、
B、
C、
D、
【正确答案】:A
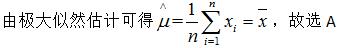
【题目解析】:
📱 扫码体验刷题小程序
扫一扫使用我们的微信小程序
热门题目
简述物流的概念、特征、作用及其发展阶段。
《再别康桥》的写作特点之一是
达·芬奇寓言故事三篇包括《雄鹰和金翅鸟》《蚂蚁和麦粒》与《发自内心的热情》
收入与利得都代表了经济利益的取得,其中利得是在【非经营】过程中形成的。
简述商业银行监管资本的含义与构成。
财政活动以 为主体
关税与贸易总协定第一轮多边贸易谈判称为
关汉卿散曲的内容有()
精读以____的导读、教读为主。
诗歌《黄河大合唱》第二乐章“黄河颂”歌颂的内容是
患儿,男性,5岁。不讲话,有要求用哭闹表示,不和小朋友玩,独来独往,不喜欢玩具,喜欢小瓶子。对患儿出现暴力行为的安全护理措施是[
临终病人包括()
➕
➖
📋
⬆️
已复制到剪贴板