翰林刷题,免费考试真题网站!
首页
关于我们
首页
›
分类
› 详情
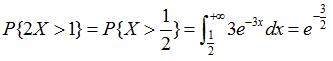
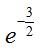
设随机变量 的概率密度为
作者:高老师
时间:2024-07-28
浏览 0
设随机变量 的概率密度为
【正确答案】:
【题目解析】:
📱 扫码体验刷题小程序
扫一扫使用我们的微信小程序
热门题目
简述意识能动性的主要表现。
衡量一个国家宏观经济中失业状况的最基本的指标是() 。失业率是指() 。
广义的“能力工资主要构成计划中不包括()
Movie makers feared for a while that they might be put 76 ____by
在访谈设计中,为了获得有关受访者言语、身体动作、面部表情等全方位信息的真实反馈,通常采访者采用 的形式。
土地节约型技术通常是通过生物技术进步实现的。
某工业企业为一般纳税企业,原材料采用计划成本计价核算。2005年8月初“原材料——甲材料”账户账面余额为20000元,“材料成本
作为BSP方法中最重要和关键的活动之一,定义企业过程是作出企业的过程和()之间的关系矩阵。
投资者在国际证券市场上购买外国企业和政府的中长期债券,或在股票市场上购买上市的外国企业股票的一种投资活动。称为()
Apgar评分在_____分的范围,可诊断为轻度窒息。
一份完整的问卷通常不包括
国际贸易中,如出口商按本国货币报价,那么,出口所伴随着的外汇兑换风险的承担者是( )
➕
➖
📋
⬆️
已复制到剪贴板