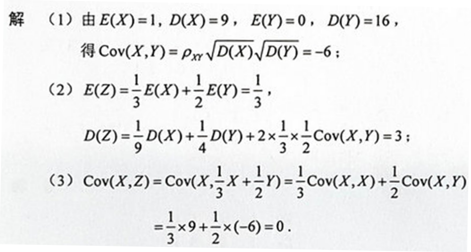
设随机变量xN(1.9),YN(0,16),且X与Y的相关系数为P(下标xy)=--0.5。Z=1/3X+1/2Y。求:(1)C

作者:高老师 浏览 1

设随机变量xN(1.9),YN(0,16),且X与Y的相关系数为P(下标xy)=--0.5。
Z=1/3X+1/2Y。
求:
(1)Cov(x,Y):
(2)E(Z),D(Z):
(3)Cov(x,Z)。
【正确答案】:

📱 扫码体验刷题小程序

微信小程序二维码

扫一扫使用我们的微信小程序

热门题目

已复制到剪贴板