翰林刷题,免费考试真题网站!
首页
关于我们
首页
›
分类
› 详情
作者:高老师
时间:2024-07-28
浏览 0
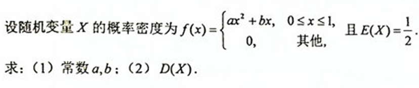
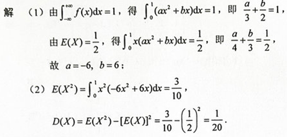
【正确答案】:
📱 扫码体验刷题小程序
扫一扫使用我们的微信小程序
热门题目
马克思主义对人的本质的界定。
《马伶传》一文的叙事特点是
下列对资本成本的相关表述,正确的有( )。
学前特殊儿童一体化教育中,制定教学目标应兼顾特殊儿童和正常儿童的共同利益,即贯彻强调( )
(2014.10.23)多项选择题:关于类比推理,以下断定错误的有()
为什么说美育是一种感性教育?
体现型技术进步
会计的一般对象可以概括为()。
Passage 2Zhangjiagang is a commercial hub of Jiangsu, the fastes
Passage: Christmas CardsHow did Mr. Smith explain to his wife?(
设A与B是任意两个互不相容事件,则下列结论中正确的是
简述WTO的职能。
➕
➖
📋
⬆️
已复制到剪贴板