翰林刷题,免费考试真题网站!
首页
关于我们
首页
›
分类
› 详情
作者:高老师
时间:2024-07-28
浏览 0
A、1/6
B、1/4
C、1/3
D、1/2
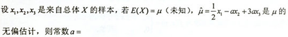
【正确答案】:B
📱 扫码体验刷题小程序
扫一扫使用我们的微信小程序
热门题目
( )就是把公司的网站放到一个Internet服务提供商的机房。客户通过租用Internet服务商的服务器和带宽,并借用Inte
简述对资本主义工商业社会主义改造的经验。
简述4~5岁儿童的几何形教育的要点。
收入的特征有
Alice did not look after him, but slowly wound along the______co
具有一个非默认参数的构造函数一般用于实现( )
Complete the following statements with proper words or expressio
根据我国会计准则的规定,销售商品所形成的外币应收账款由于市场汇率上涨引起的折算差额,在期末确认时,应当()
银本位制在_____世纪以后开始盛行。
在充分竞争的市场上,( )
补偿贸易的做法主要有()
下列作者中,被称为北宋诗文革新运动先驱的是( )。
➕
➖
📋
⬆️
已复制到剪贴板