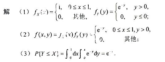
设随机变量X服从[0,1]上的均匀分布,随机变量Y服从参数为l的指数分布,且X与Y相互独立。求:(1)X与Y的概率密度f(下标x

作者:高老师 浏览 0

设随机变量X服从[0,1]上的均匀分布,随机变量Y服从参数为l的指数分布,且X与Y相互独立。
求:
(1)X与Y的概率密度f(下标x)(x)与f(下标y)(y);
(2)(X,Y)的概率密度f(x,y):
(3)P{Y≤X}。
【正确答案】:

📱 扫码体验刷题小程序

微信小程序二维码

扫一扫使用我们的微信小程序

热门题目

已复制到剪贴板