翰林刷题,免费考试真题网站!
首页
关于我们
首页
›
分类
› 详情
作者:高老师
时间:2024-07-29
浏览 2
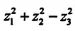
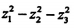
A、
B、
C、
D、
【正确答案】:D
📱 扫码体验刷题小程序
扫一扫使用我们的微信小程序
热门题目
洋务派建立的以下军事工业中,创办最早的是()
心理学研究表明,动机强弱程度与工作效率之间的关系是
管理人员往往被提拔到他们不能胜任的岗位上,这一现象在管理学中被称为()
全面质量管理是生产全过程的管理。
科层制组织坚持照章办事原则。
简述国际市场营销与国内市场营销的异同。
指出并解释服务质量SERVQUAL模式中的决定性因素。
黎锦晖(写出身份、创作领域、代表作)
在不考虑其他因素的情况下,企业发生的下列交易或事项中,期末会引起“递延所得税资 产”增加的有
Word-meaning changes by the following modes EXCEPT().
财务报表按照编制单位分为()
可销价格倒推法属于需求导向的定价方法。
➕
➖
📋
⬆️
已复制到剪贴板