翰林刷题,免费考试真题网站!
首页
关于我们
首页
›
分类
› 详情
作者:高老师
时间:2024-07-29
浏览 0
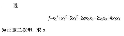
【正确答案】:
【题目解析】:
📱 扫码体验刷题小程序
扫一扫使用我们的微信小程序
热门题目
(9P191)简述新中国社会主义建设取得的成就。
以下选项中,不属于现代物流的特征的是( )
简述《吝啬鬼》的主题内容。
企业使命的界定不包括().
以下哪条教学原则属于赞可夫在实验研究的过程中逐步形成、在对实验工作进行理论概括时定型的原则
关于电脑故障的陈述中,下列判断为真的是
在每次收货以后,立即根据库存存货的数量和总成本,计算出新的平均单位成本,这种存货成本的计价方法是()。
成本分析
Modern aircraft are so heavy that the wings must develop a very
The negotiators knew that delay would 【jeopardize】 approval of a
结构化方法
在自设问卷时,问卷的用词要求包括
➕
➖
📋
⬆️
已复制到剪贴板