翰林刷题,免费考试真题网站!
首页
关于我们
首页
›
分类
› 详情
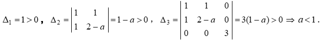
设矩阵( )。
作者:高老师
时间:2024-07-29
浏览 0
设矩阵( )。
【正确答案】:A<1
【题目解析】:
📱 扫码体验刷题小程序
扫一扫使用我们的微信小程序
热门题目
1922年1月,第一次工人运动高潮的起点是( )
中国证券市场监督体系与自律管理体系的成员有( )。Ⅰ.国务院证券监督管理机构Ⅱ.国务院证券监督管理机构的派出机构Ⅲ.证券交易所Ⅳ
首次公开发行股票的发行人和主承销商应当在发行和承销过程中公开披露的信息包括( )。Ⅰ.网上申购前披露每位网下投资者的详细报价情况
中国特色社会主义共同理想与共产主义远大理想有着内在的关系,它们是()。
人类文化大体分为三部分:一是器物文化;二是行为文化;三是()
下列关于市场营销的叙述正确的是()
实质性测试的前提条件和基础,是了解内部控制的设计和执行情况。
审计风险模型的构成因素有
番号( )
原文: With swift and decisive action, we can still limit global wa
采用定额成本法计算产品成本,产品实际成本的组成项目有 【 】
《轩亭秋》《轩亭血》等戏剧以现实生活为题材,所歌颂的主人公是
➕
➖
📋
⬆️
已复制到剪贴板