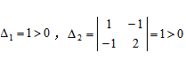
设,则二次型是( )

作者:高老师 浏览 0

,则二次型是( )


A、正定
B、负定
C、半正定
D、不定
【正确答案】:B
【题目解析】:对应的正定,负定.。

📱 扫码体验刷题小程序

微信小程序二维码

扫一扫使用我们的微信小程序

热门题目

已复制到剪贴板