翰林刷题,免费考试真题网站!
首页
关于我们
首页
›
分类
› 详情
作者:高老师
时间:2024-07-29
浏览 0
B、1
C、2
D、3
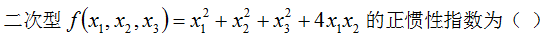
【正确答案】:C
【题目解析】:
📱 扫码体验刷题小程序
扫一扫使用我们的微信小程序
热门题目
以下哪些方式有助于成功打造引人人胜的开场白?( )
简述固定资本有形磨损和无形磨损产生的原因。
根据合同的相关法律规定,违约责任的形式包括
电子商务平台企业的网络组织类型是
简述职位/岗位薪酬管理体系设计的步骤。
以成本模式计量的投资性房地产的摊销额应计入()。
试述流通企业选择海外市场进入模式的影响因素。
如何判断商品所有权上的主要风险和报酬是否已转移?
简述PDCA方法。
资产负债表解读中,对应收账款质量的判断包括()。
国际标准化组织为保护全球环境和世界经济持续发展而制订的系列环境管理标准是
模式词语
➕
➖
📋
⬆️
已复制到剪贴板