将二次型化为标准型并写出相应的可逆线性变换。

作者:高老师 浏览 0

将二次型化为标准型并写出相应的可逆线性变换。


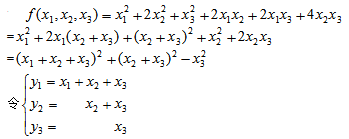
【正确答案】:




【题目解析】:

📱 扫码体验刷题小程序

微信小程序二维码

扫一扫使用我们的微信小程序

热门题目

已复制到剪贴板