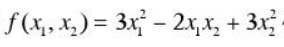
求正交变换x=Py,将二次型化为为标准形,并指出f是否为正定二次型.

作者:高老师 浏览 0

求正交变换x=Py,将二次型化为为标准形,并指出f是否为正定二次型.


【正确答案】:



【题目解析】:

📱 扫码体验刷题小程序

微信小程序二维码

扫一扫使用我们的微信小程序

热门题目

已复制到剪贴板