翰林刷题,免费考试真题网站!
首页
关于我们
首页
›
分类
› 详情
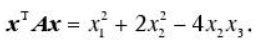
设矩阵
作者:高老师
时间:2024-07-29
浏览 1
设矩阵
【正确答案】:
【题目解析】:
📱 扫码体验刷题小程序
扫一扫使用我们的微信小程序
热门题目
假设A比B长,C比B短,问A比C长吗?这种推理属于()
通过厂容厂貌、厂旗厂标、产品造型设计、职工的言谈话语体现出来的企业文化是()
我国会计惯例所称“现金”是指( )。
什么是机会成本?决策中如何考虑机会成本?
Which of the following is nearest in meaning to “braced himself
与其他国家的商人相比,北欧人在谈判中显得
非智力因素在语文学习中 ()
对日常护理工作中的好人好事给予及时表扬和奖励,体现管理的()
简述护理研究论文的特征。
下列哪项理论由皮亚杰提出
可以应用体位引流帮助排痰的患者是()
关于早产儿的特点,下列叙述正确的是
➕
➖
📋
⬆️
已复制到剪贴板