翰林刷题,免费考试真题网站!
首页
关于我们
首页
›
分类
› 详情
作者:高老师
时间:2024-07-29
浏览 0
A、
B、
C、
D、
【正确答案】:C
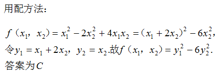
【题目解析】:
📱 扫码体验刷题小程序
扫一扫使用我们的微信小程序
热门题目
1904年至1905年,为争夺侵略权益在中国东北公然进行战争的帝国主义国家是( )。
国务院证券监督管理机构在对证券市场实施监督管理中的职责有( )。Ⅰ.依法制定有关证券市场监督管理的规章、规则Ⅱ.依法进行审批、核
网上商店的办理交易进行前的手续阶段会涉及有关各方,具体包括( )
绩效考核的方法有
下列选项中不属于内部信息收集内容的是()
合同无效的事由有( )。
公司与债权人之间的财务关系体现的是()
职位分类标准包括( )。
在古代中国,与古代西方“设计”相似的概念是( )
中国古代,已能够满足小商品生产者需要的广告形式有()
“未来中心教育”的理念是由()提出的。
下列哪种描述体现了祖辈在对儿童进行家庭教育时的心态?( )
➕
➖
📋
⬆️
已复制到剪贴板