翰林刷题,免费考试真题网站!
首页
关于我们
首页
›
分类
› 详情
作者:高老师
时间:2024-07-29
浏览 0
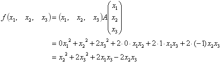
【正确答案】:
【题目解析】:
📱 扫码体验刷题小程序
扫一扫使用我们的微信小程序
热门题目
在公平交易中,熟悉情况的交易双方自愿进行资产交换或者债务清偿的金额是( )
按照斯皮罗等人的观点,随机访问教学作为一种教学途径,更适合于()
以南海观世音座前的善财童子为主人公的童话《九重天》的作者是( )
如果采用单式记账凭证,可以按会计科目归类装订。()
根据企业会计准则的要求,资产负债表日后非调整事项不作任何处理。( )
土地开发中过程中的基础设施配套费中的“三通一平”是指
发挥谈判群体效能最大化的一般途径有哪些?
陆机在《文赋》中论述了创作中的常见问题,提出的解决办法有
陈子龙《小车行》的主题是什么?
关于先天性甲低,哪项是正确的
求圆柱截切后的正面投影。
格伯纳提出的“涵化”理论也被称为()。
➕
➖
📋
⬆️
已复制到剪贴板