翰林刷题,免费考试真题网站!
首页
关于我们
首页
›
分类
› 详情
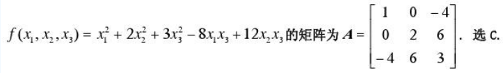
二次型的矩阵为()
作者:高老师
时间:2024-07-29
浏览 0
二次型
的矩阵为()
A、
B、
C、
D、
【正确答案】:C
【题目解析】:
📱 扫码体验刷题小程序
扫一扫使用我们的微信小程序
热门题目
教育的主要内容包括()
下列属于宏观调控法的部门法是()
行业增长速度的降低会使得争夺市场份额的竞争更加激烈,那些想继续维持快速增长的企业开始寻找各种途径从竞争对手那里获得顾客。这说明该
经济衰退时期,政府可采取的扩张性货币政策包括
广告专用发票制度
布鲁姆把认知学习从低到高依次排列为
试述货币政策及其在农村经济中的运用。
当无差异曲线与原点成90°凸出时,表示相结合的两种商品是( )
针对存货采购业务的特点,其内部控制制度设计的目标不包括
包装上仅有买方指定的商标而无生产地名和出口厂商名称,这种包装属于()
试述《呐喊》、《彷徨》中农民题材小说的思想内容。
中国“家天下”的历史开始于()
➕
➖
📋
⬆️
已复制到剪贴板