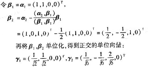
利用施密特正交化方法,将下列向量组化为正交的单位向量组:

作者:高老师 浏览 0

利用施密特正交化方法,将下列向量组化为正交的单位向量组:


【正确答案】:



【题目解析】:

📱 扫码体验刷题小程序

微信小程序二维码

扫一扫使用我们的微信小程序

热门题目

已复制到剪贴板