若向量与向量正交,则k=( )

作者:高老师 浏览 0

若向量与向量正交,则k=( )


A、-1
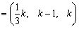
C、
D、
【正确答案】:C
【题目解析】:

两个向量正交,则内积为0.本题计算过程如下:答案为C


📱 扫码体验刷题小程序

微信小程序二维码

扫一扫使用我们的微信小程序

热门题目

已复制到剪贴板