翰林刷题,免费考试真题网站!
首页
关于我们
首页
›
分类
› 详情
作者:高老师
时间:2024-07-29
浏览 0
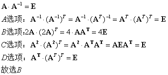
A、
B、
C、
D、
【正确答案】:B
【题目解析】:
📱 扫码体验刷题小程序
扫一扫使用我们的微信小程序
热门题目
沃尔玛运输管理沃尔玛公司是世界上最大的商业零售企业,在物流运营过程中,尽可能地降低成本是其经营的哲学。沃尔玛有时采用空运,有时采
按计划的明确性程度分类,计划可以分为
劳动力商品价值包括哪些内容?
现代主义设计兴起于()。
某公司以下行沟通方式、链式沟通网络作为公司的主要沟通手段。公司总经理事无巨细地亲自决断,每天起早贪黑,玩命工作,才保证了公司的正
简述运营经理在制定库存控制决策时应考虑的关键问题。
某日,纽约外汇市场美元兑港元的报价为:USD1=HKD7.7654,这属于( )
大包装、外包装就是()
指针使用成员有两种方法,“->”指向运算符和“.”___
企业与其他企业之间、企业与顾客之间、企业内部职工之间关系的行为规范的总和指的是( )。
《礼记.乐记》中关于音乐本质的观点有
➕
➖
📋
⬆️
已复制到剪贴板