翰林刷题,免费考试真题网站!
首页
关于我们
首页
›
分类
› 详情
作者:高老师
时间:2024-07-29
浏览 0
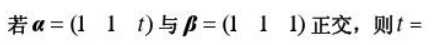
A、-2
B、-1
D、1
【正确答案】:A
【题目解析】:
📱 扫码体验刷题小程序
扫一扫使用我们的微信小程序
热门题目
抗日战争胜利后,国共双方经过谈判签署《政府与中共代表会谈纪要》的时间是( )
1935年,日本帝国主义制造了侵略中国的
观察客户的非语言行为应注意()
简述中国共产党领导的多党合作和政治协商制度的独特优势。
三杯两盏淡酒,怎 敌 他、晚来风急!
适时生产方式(JIT)的具体目标有
试述造成儿童缺铁性贫血的原因。
______ contract No.123, we are agreeable to D/P payment terms.
程序调试是在编写的程序投入实际运行前,通过调试工具等方法进行测试、修正语法错误和______错误的过程。
In the past year, international concern over what to do about gl
注册会计师的审计责任是( )。
➕
➖
📋
⬆️
已复制到剪贴板