翰林刷题,免费考试真题网站!
首页
关于我们
首页
›
分类
› 详情
作者:高老师
时间:2024-07-29
浏览 0
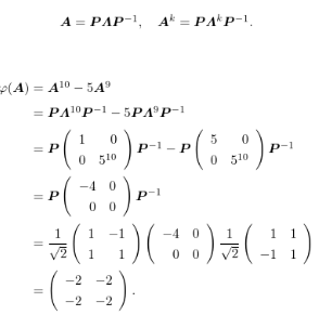
【正确答案】:
【题目解析】:
📱 扫码体验刷题小程序
扫一扫使用我们的微信小程序
热门题目
ETF的申购和赎回在( )进行,市场交易在( )进行。
一般客户的发展阶梯是( )。①潜在客户②新客户③留住的客户④满意的客户⑤老客户
设计信息化包括产品设计数字化和
社会基本矛盾的运动总是从( )。
室外设计:
学前儿童开始能够进行最初的生活自理的年龄阶段是( )
在一个单CPU系统中,共有6个用户进程。假设有一个用户进程正在执行,则处于就绪状态的用户进程最多有______个。
在C++中,左移运算符“
在寄存器中,一般会用上升沿触发( )触发器。
Briefly discuss the timeless appeal of the mighty drama Hamlet.
下列关于审计证据的可靠性说法,错误的有
在建立回归趋势预测模型时,如何选择适当形式的趋势方程来进行模拟?
➕
➖
📋
⬆️
已复制到剪贴板