翰林刷题,免费考试真题网站!
首页
关于我们
首页
›
分类
› 详情
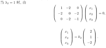
将对称矩阵化为对角矩阵:
作者:高老师
时间:2024-07-29
浏览 0
将对称矩阵化为对角矩阵:
【正确答案】:
【题目解析】:
📱 扫码体验刷题小程序
扫一扫使用我们的微信小程序
热门题目
简述发达国家与发展中国家经济关系的实质。
下列不属于传统薪酬战略下薪酬构成的是( )。
下列属于长期负债的是( )
在幼儿园实践中,某些教师认为幼儿进餐、睡眠、茶点等是保育,没有教育价值,只有上课才是教育活动,这种做法违反了()
学前儿童从( )的过程比其他任何年龄段的人群较为容易,在学龄前阶段抓好健康教育比抓其他年龄阶段人群的健康教育更为有效。
从MEP和SAM可以得出()
漢字は中国( )日本に伝わった文字です。
下列关于虚拟组织的特点,描述不正确的是
每一份外汇期货的资产标的物是一定数量的()
能够平抑现货价格的交易方式是
下列属于卫生事业组织的是
简述共情在护患关系中发挥的作用。
➕
➖
📋
⬆️
已复制到剪贴板